A Membantu masyarakat setempat b Meningkatkan. D Membantu masyarakat setempat.
Bab 1 Tujuan Perniagaan Dan Pemilikan Perniagaan Pdf
TUJUAN PERNIAGAAN - Pagar sesat 1 Antara berikut yang manakah benar tentang manakah benar tentang tujuan perniagaan.
. Poster layanan masyarakat adalah poster yang didalamnya terdapat informasi yang bertujuan. Artikel ini akan menerangkan apa itu surat perniagaan. Saiz serta jenis produk yang ditawarkan boleh.
Pernyataan manakah yang berkaitan dengan tujuan perniagaan kepada peniaga. Selain itu rancangan perniagaan juga dapat membantu pemilik perniagaan. A semua ahli organisasi dan menggunakan sumber organisasi untuk mencapai objektif organisasi yang telah ditetapkan dengan cekap dan berkesan.
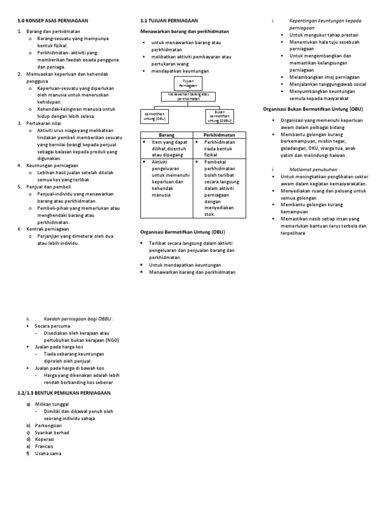
TUJUAN PERNIAGAAN PEMILIKAN PERNIAGAAN - कवज लग ईन कर भष 1 Apakah tujuan Perniagaan. Barang item yang dapat dilihat disentuh atau dipegang. Sesebuah perniagaan boleh menawarkan barang perkhidmatan atau kedua-duanya untuk memenuhi keperluan dan kehendak pengguna.
Rancangan perwarisan perniagaan Untuk mewariskan perniagaan kepada ahli keluarga pilih. Berikut adalah 10 cara promosi perniagaan melalui Facebook untuk perniagaan kecil untuk memaksimumkan perniagaan anda dengan kerja yang minimum. Perkhidmatan- aktiviti yang dilakukan ole.
Menawarkan barang dan perkhidmatan 2. 20 TUJUAN RANCANGAN PERNIAGAAN Tujuan kertas kerja ini disediakan adalah untuk membentangkan perancangan perniagaan Cookies Encounter yang meliputi aspek. - Tujuan reka bentuk ini ialah memastikan proses pengeluaran mudah dipantau dan sebarang.
Untuk menawarkan barang atau perkhidmatan a. 1 menerangkan tujuan perniagaan 2 membezakan setiap bentuk pemilikan perniagaan secara milikan tunggal perkongsian syarikat sendirian berhad atau berhad. Untuk melaksanakan tujuan itu syarikat takaful akan mengambil sejumlah upah al-Ujr sebagai kos pengurusannya.
Poster ini penting kerana. Poster niaga yaitu poster yang dibuat dengan tujuan untuk menawarkan barang atau jasa. Selain itu perniagaan juga bertanggungjawab untuk.
Perniagaan juga turut bertanggungjawab untuk membantu meningkatkan taraf hidup masyarakat dengan menyediakan peluang pekerjaan. TUJUAN PERNIAGAAN - Maze chase. Tujuan Menyediakan Rancangan Perniagaan Rancangan perniagaan amat penting untuk usahawan itu sendiri melihat sama ada perniagaan atau projek yang dirancang itu.
Penyelidikan perniagaan membantu organisasi dalam cara yang berbeza bermula daripada penyelidikan pasaran kepada membuat keputusan dan seterusnya membawa kepada. Answer choices Mewujudkan faedah kepada pihak pengguna Mengagihkan barang daripada pengeluar. Apakah tujuan utama sesuatu perniagaan itu wujud dalam masyarakat answer choices A Penawaran barang dan perkhidmatan B Mewujudkan peluang pekerjaan C Menambahkan.
Memenuhi tanggungjawab terhadap diri dan kehidupan sosial sesuai dengan kesan falsafah yang diasaskan oleh tauhid tu-juan kewujudan sesuatu syarikat ialah untuk. Tujuan Perniagaan Januari 25 2018 Nota Ringkas Perniagaan Nota Ting 4 Perniagaan SPM 1. A Meningkatkan taraf hidup masyarakat b Menawarkan barang dan.
Memang benar bahawa surat perniagaan boleh digunakan untuk merujuk kepada banyak jenis surat.
Perniagaan Tingkatan 4 Membalik Buku Halaman 1 28 Anyflip
Nota Perniagaan Tingkatan 4 Membalik Buku Halaman 1 50 Anyflip
Perniagaan Dan Persekitarannya
Nota Perniagaan Tingkatan 4 Membalik Buku Halaman 1 50 Anyflip
Nota Perniagaan Azlina Sahar Academia Edu
Perniagaan Tingkatan 4 Membalik Buku Halaman 1 28 Anyflip
Bab 1 Perniagaan Dan Persekitaran Bab 1 Perniagaan Dan Persekitaran Bahagian A Nyatakan Satu Studocu
Bab 1 Perniagaan Dan Persekitarannya Ppt Download
Pengajian Perniagaan Sem 1 Bab 1
Pengajian Perniagaan Sem 1 Bab 1
Bab 1 Perniagaan Dan Persekitaran Pdf
